
Glycosylation (the addition of a sugar molecule) of small molecule flavors and fragrances can greatly alter their taste and smell, as well as other important properties.
An example is the flavor-neutral β-D-glucoside of vanillin: only by removing the sugar from the molecule during the curing process does the “vanilla” aroma emerge. Another is crocin, the color agent of saffron: glycosylation of the tetraterpene crocetin gives the molecule the watery solubility that it is known for.
It is less well known that adding multiple sugar molecules to the first can further diversify functionality. For instance, changes in color, solubility and stability of anthocyanin colorants come from different oligomeric sugar structures.
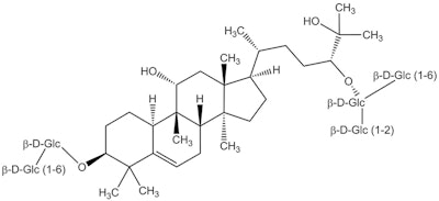
When a β-D-glycoside of a small molecule is formed by the action of a UGT enzyme (Uridine-diphosphate GlycosylTransferase), the new bond is connected to the sugar’s C-1. Further carbohydrate molecules can be attached to different positions on the first sugar by other specific UGTs with 1,2-, 1,3- or 1,6-bond specificity.
The natural expression of these enzymes in plants creates the vast diversity of existing small molecule oligosaccharides.

Considering flavors, molecular families such as steviosides (from Stevia plants) and mogrosides (from luohan guo fruit) are especially interesting. Each has numerous members with different oligosaccharides attached to a small molecule. These oligosaccharides have different sugar-sugar bonds and consequently different sweetening and flavor qualities. In each family, adding more sugars creates a higher quality sweetening effect, (i.e., less bitter aftertaste). And the flavanone diglycoside neohesperidin has a stronger bitter-masking effect than its isomer hesperidin. These molecules differ only in the position of the bonds of the sugar molecules.
Our GLY-IT glycosylation platform can construct a large variety of small oligomeric structures on aglycons. Our knowledge of which UGTs can provide which bonds allows us to find appropriate oligo-glycosylation solutions for most problems.
Disclaimer:
The above paid-for content was produced by and posted on behalf of the Sponsor. Content provided is generated solely by the Sponsor or its affiliates, and it is the Sponsor’s responsibility for the accuracy, completeness and validity of all information included. Perfumer & Flavorist takes steps to ensure that you will not confuse sponsored content with content produced by Perfumer & Flavorist and governed by its editorial policy.










